10 Linear Programming
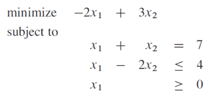
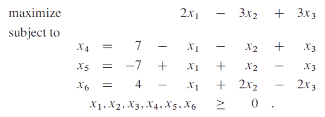
If we can specify the objective as a linear function of variables, and if we can specify the constraints on resources as equalities/inequalities, we have a linear programming problem
I already did optimization course, so I’ve skipped a lot.
Conversions¶
- Convert from min problem to max problem
- Negate the coefficients in objective function
- If some of the variables do not have \(\ge 0\) constraints
- Add \(\ge 0\) constraints \(x'_j > 0, x''_j > 0\)
- Replace \(x_j \to x'_j - x''_j\)
- Replace \(c_j x_j \to c_j x'_j - c_j x''_j\)
- Replace \(a_{ij} x_j \to a_{ij} x'_j - a_{ij} x''_j\)
- Any feasible solution obtained corresponds to
- \(\bar x_j = \hat x'_j - \hat x''_j\)
- \(\hat x'_j = \bar x_j, \hat x''_j = 0, \text{ if }\bar x_j \ge 0\)
- \(\hat x''_j = \bar x_j, \hat x'_j = 0, \text{ if }\bar x_j \le 0\)
- Convert constraint \(\ge k \implies \le -k\)
- Convert constraint \(= k \implies \le k \ \& \ge k\)
- Add slack


2025-12-01